当前位置: 首页 >> 更多产品 >> 高方平筛
高方平筛

60秒级人工响应 / 30分钟内给予技术答复 / 24小时免费提供方案

高方平筛

高方平筛

产品优势:具有机 体强度高,刚性好,不窜漏等特点

图片1x-水印.png

产品特点:

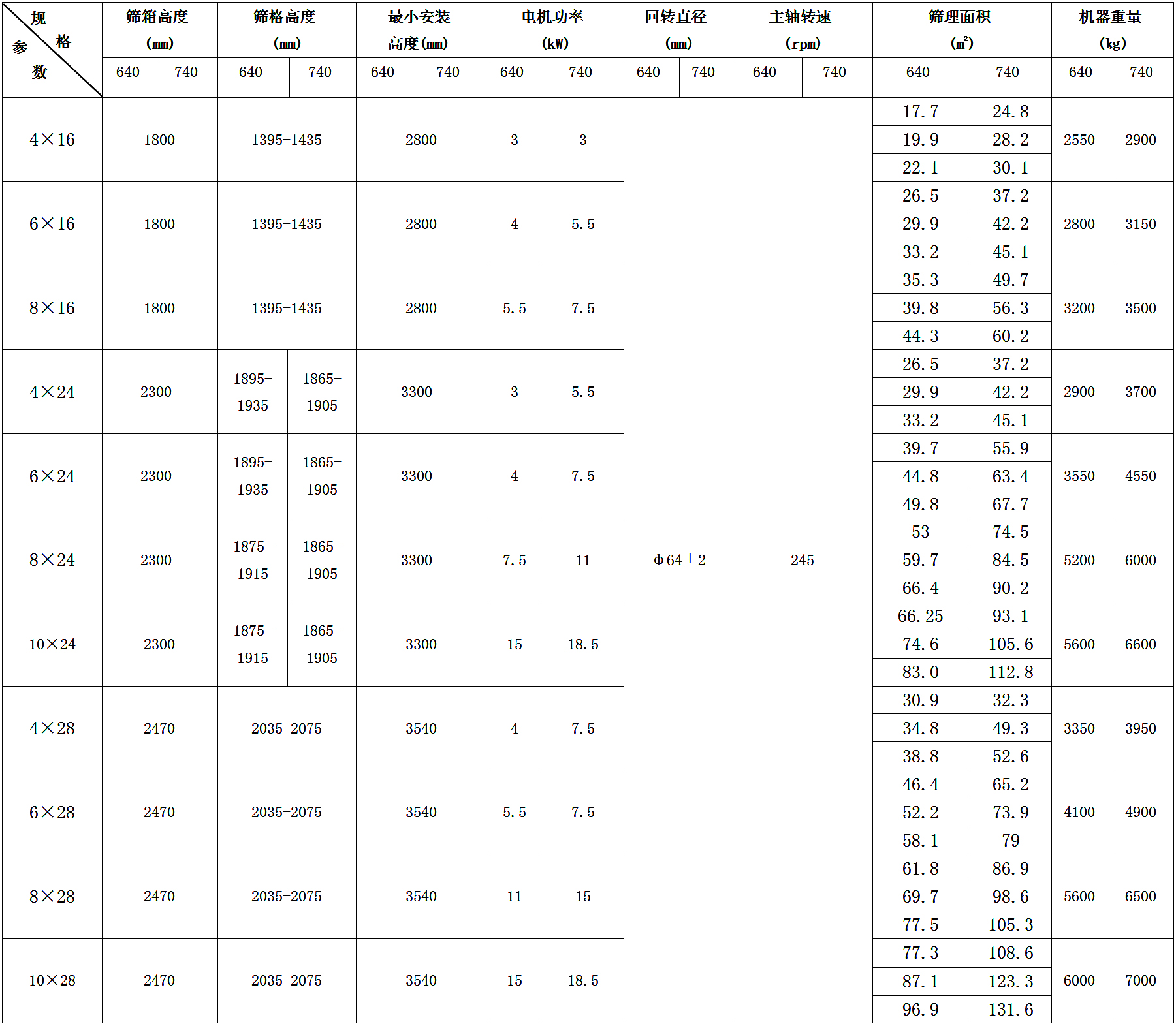
        用于筛选研磨后的物料各种颗粒状物料的分级,配有2.4.6.8或10个仓,每仓可有 16-30个筛格,筛网面积12-131平方米,

综合国内外同类产品先进技术,对框架断裂、密封问题、轴承易损及拆卸困难进行针对性优化设计,筛框及传动架采用整体连接板结构,具有机

体强度高,刚性好,不窜漏等特点,独特的三轴承+弹簧传动支撑结构及润滑油防渗漏结构,合理分配轴承受力,有效延长轴承使用寿命。


产品参数:


文字文稿1_01.jpg

如果您对我们的产品有任何需求、建议和意见,请您留言! 看到信息后会第一时间给您回复。谢谢!
更多>>

应用案例

  • 26 01月
    河南亿德集团董事长陈教授到修武县考察参观

    河南亿德集团董事长陈志成陈教授到修武县公共资源交易中心工厂参观及待开发场地考察

  • 24 07月
    河南亿德-小麦、玉米循环经济综合加工工程

    循环经济是以物质、能量闭路循环使用为特征,把清洁生产、资源综合利用、生态设计和可持续消费融为一体,降低污染物的排放,甚至实现污染零排放,耗能负增长的一种经济模式。 粮食循环经济是以小麦、玉米和碎米为原料,开发专用粉、提取淀粉和谷朊粉、胚芽、分离蛋白,

  • 19 04月
    河南亿德-玉米淀粉工程

    玉米淀粉采用的是闭环、逆流的湿磨法玉米淀粉生产技术设计的生产线,此生产线设计科学,技术含量高,生产过程清洁,设备生产负荷率高,物料无滞留,罐数量少,有效运行时间长,玉米成分提取率高,生产流程短,物料投入产出时间短,产品技术收率高、质量好,使用计算机控制。整个

  • 12 04月
    河南亿德集团-小麦淀粉工程

    小麦淀粉是以小麦面粉为原料经过和面、洗筋、淀粉分离提纯、面筋干燥、淀粉干燥等工段处理后得到一种的产品,其色泽白正、粘性足、质地细腻有光泽,倍受广大用户喜爱。小麦淀粉糊具有低热粘度,低糊化温度的特性,糊化后粘度的热稳定性比较好,经长时间加热和搅拌粘度的降低很少,冷却

  • 29 07月
    大型面粉加工厂家,制粉设备厂家报价

    对于大型面粉加工厂家,虽可可能生产设备的有很多,也可以为客户提供报价,但是正常能够做好的却很少,因为在生产时候,面粉属于乙级火灾危险性物质,是易爆物品,每年我们总能看到一些面粉厂爆炸死伤的新闻。如何选择大型面粉设备厂家如何选择一个好的面粉设备厂家,一方面可以提供优良的设备,另外还可以提供合理的工艺和

  • 26 04月
    河南亿德-淀粉制糖工程

    异构化+色谱分离复配F55果葡糖浆工艺F55果葡糖浆是一种完全可以替代蔗糖的产品,并与蔗糖一样可广泛应用在食品及饮料行业,特别是在饮料行业中的应用,其风味与口感要优于蔗糖。蔗糖价格的上涨,使得果葡糖浆在食品、饮料等工业中的应用尽显优势。果葡糖浆的甜度接近于同浓度的蔗糖,风味有点类似天然果汁,由于果糖的存在,

  • 23 04月
    河南亿德-薯类淀粉工程

    薯类淀粉制取工程主要是从薯类作物例如木薯、干薯、马铃薯等薯类作物中提取淀粉的工程。薯类淀粉主要用作食品、制糖、医药、饲料、纺织、造纸、化工等行业的原料。薯类淀粉生产过程,是物理分离过程,即是将木薯原料中的淀粉与纤维素、蛋白、无机等其它物质分开。在生产过程中,根据淀粉不溶于冷水且比重大于水的性质,用水

  • 08 04月
    河南亿德集团-杂粮综合体工程

    杂粮综合体是高附加值杂粮加工及康养膳食加工及现代物流综合体,集成杂粮新工艺、电气自动化、信息智能化、设备成套化的高标准成熟技术可做到主产品和副产品充分利用,利用率达到98%以上。 该成套设备可加工的原粮有豆类、麦类、小宗谷物类、燕麦、青稞、藜

在线留言 在线留言 拨打电话 拨打电话 销售热线:17021899777 返回顶部